(解答)
おもり1,2のy軸に対する角度を
とする。
おもり1の位置
の座標
およびその速度
の2乗は、
となる。
おもり2の位置
の座標
およびその速度
の2乗は、
となる。
ここで、おもり1の運動エネルギー
および位置エネルギー
は、
また、おもり2の運動エネルギー
および位置エネルギー
は、
となる。
この2重振り子のラグランジュ関数
は、
となる。
このラグランジュ関数
から
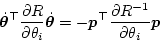
に関するラグランジュ運動方程式をたてるには、
以下の関係式を用いればよい。
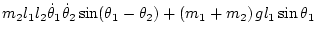
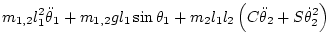
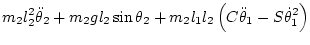
これを具体的に求めると、
ゆえに、
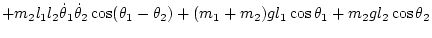
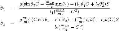
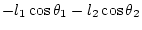
に関するラグランジュ運動方程式は、
となる。
ここで、求められた2階の微分方程式を連立1階微分方程式に直すため、
便宜上以下のようにおく。
上式を整理すると,
 |
(20) |
 |
(21) |
となる。さらに、
とおくことにより以下の連立1階微分方程式を得る。
ちなみに、式(24), (25)は冗長であるので整理する
ためにそれぞれ分母分子を
,
で割ると、
となる1。
また、各々の角速度に比例する抵抗などの減衰
や強制振動のような外力
がある場合は、
それぞれに対する減衰定数を
、外力を
とすると、
に関するラグランジュ運動方程式は
式(16),(17)から、
となる。
よって、式(22)-(25)に対応する減衰
や外力
がある場合の連立一階微分方程式は以下のようになる2。
[補足] ハミルトンの正準方程式の導出
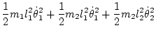
ここで、運動エネルギー
を以下のように表す。
 |
(32) |
但しここで、
、
 |
(33) |
である。すると、角運動量
は、
と表される。ハミルトニアン
は
 |
(34) |
であり、ハミルトニアン
からハミルトンの正準方程式を得るには以下
の関係式を用いればよい3。
ちなみに
は、前述の抵抗や外力がある場合は、
![\begin{displaymath}
\bm{F} = \left[\begin{array}{c}
\sigma_1
- \lambda_1\dot\...
...1
\\
\sigma_2
- \lambda_2\dot\theta_2
\end{array} \right]
\end{displaymath}](present-img132.gif) |
(37) |
さもなくば
(
)である。
具体的に求めると、ハミルトンの正準方程式は以下のようになる。
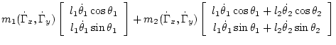
[発展] 動座標系におけるラグランジュ運動方程式及びハミルトンの正準方程式の導出
が時変の位置
によって動くことに
より、振り子が強制振動される場合を考える4。
番目の質点の位置ベクトルを
として、この
動座標系における運動エネルギー
は、
 |
(43) |
となり、位置エネルギー
は、
 |
(44) |
となる。ここで、
とおくと、ラグランジュ関数
は
より、
 |
|
|
(46) |
となり、ラグランジュ運動方程式は、
 |
(47) |
となる。但しここで、
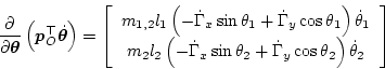
![\begin{displaymath}
\frac{\partial \bm{p}_O}{\partial t}
=
\left[\begin{array...
...s\theta_2+\ddot\Gamma_y\sin\theta_2\right)
\end{array}\right]
\end{displaymath}](present-img156.gif) |
(48) |
である。
この場合の角運動量
は、
であるので、
より、ハミルトニアン
は、
 |
(49) |
であり、ハミルトニアン
からハミルトンの正準方程式を得るには以下
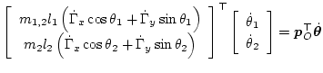
の関係式を用いればよい。但しここで、
![\begin{displaymath}
\frac{\partial}{\partial \bm\theta}\left( \bm{p}_O^\top \dot...
...ot\Gamma_y\cos\theta_2\right) \dot\theta_2
\end{array}\right]
\end{displaymath}](present-img167.gif) |
(52) |
である。
- ...
となる1
- これは明らかに文献[5]の式(B5), (B6)、
文献[12]の式(1.3)、文献[13]の式(1.12)と等し
い。文献[9]の式(4C-4)、文献[11] p.30
の式とは異なっており、おそらくこれらは誤植であると思われる。
- ...
がある場合の連立一階微分方程式は以下のようになる2
- ソース
で1箇所符合が反転しており、その結果、式(20),
(24), (30)の一部符合が間違っておりました。
お詫びして訂正致します(2003年10月10日)。
- ...
の関係式を用いればよい3
-
この導出には、
の関係から、
であるので、これに
を左から、
を右からかけて、
ゆえに、
が成立することを利用している[14]。
- ...
より、振り子が強制振動される場合を考える4
- 以下は強制振動の一例
とその速度、加速度。
このサイトについてのご意見ご要望は
taiji@aihara.co.jp までお願いします。
Copyright (C) 1996-1998,2003-2004 Taiji Yamada, AIHARA Electrical Engineering Co., Ltd.
All rights reserved.